Skip to content
The SDDQ and DBS Survey
2.
Welcome to My Survey
Thank you for participating in the Susceptibility to Driver Distraction Questionnaire (SDDQ) and The Driving Behavior Survey (DBS). Your feedback is important.
OK
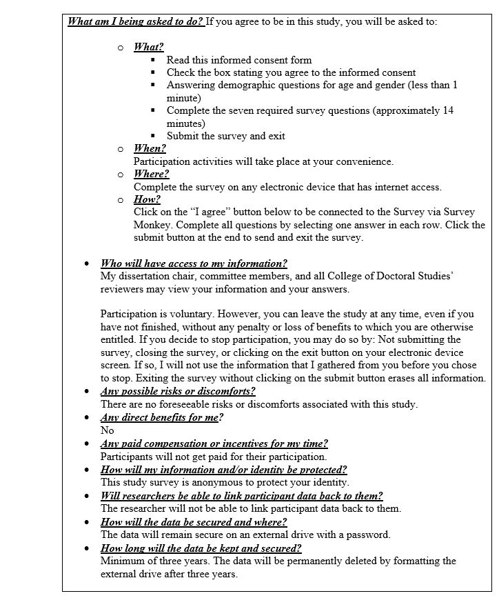
Please read and acknowledge the Informed Consent Form
*
1.
Voluntary Consent
(Required.)
I agree
I do not agree
Current Progress,
0 of 10 answered