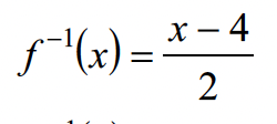
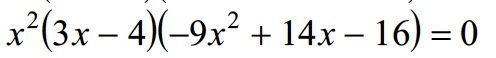
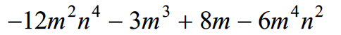
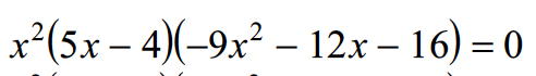
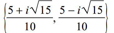
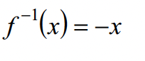
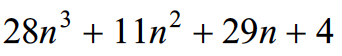
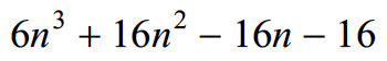
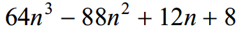
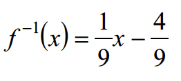
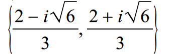
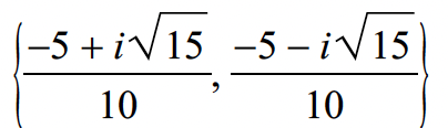
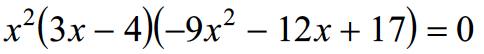
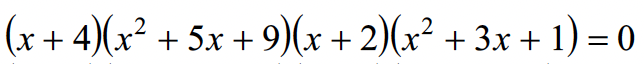
Senior High Fine Arts Testing 2026: Algebra Question Title * 1. First Name Question Title * 2. Last Name Question Title * 3. School Name Question Title * 4. Which graph represents y=-2x+3? 3 A 3 B 3 C 3 D Question Title * 5. Which of these would produce a system of linear equations that is inconsistent? 2 lines with the same slope and different y-intercepts 2 lines with different slopes and the same y-intercepts 2 lines with different slopes and different y-intercepts 2 lines with the same slope and the same y-intercepts Question Title * 6. Which of these would produce a system of linear equations that is consistent and dependent? 2 lines with different slopes and the same y-intercepts 2 lines with the same slope and different y-intercepts 2 lines with the same slope and the same y-intercepts 2 lines with different slopes and different y-intercepts Question Title * 7. What is the vertex of y = (x - 2)2 - 5? (-2, -5) (5, -2) (2, -5) (-5, 2) Question Title * 8. What is the discriminant of x2 - 6x + 8 = 0? 4 36 16 32 Question Title * 9. What is the range of y = x2 y less than or equal to 0 y not equal to 0 all real numbers y greater than or equal to 0 Question Title * 10. If sin θ =1/2 and θ is in Quadrant I, what is θ? 30° 90° 60° 45° Question Title * 11. Evaluate: k(a) = 4a - 2; Find k(-8) 6 30 -18 -34 Question Title * 12. It takes Stephanie eight hours to clean an attic. Dan can clean the same attic in 12 hours. If they worked together how long would it take them? 4.8 hours 3.92 hours 5.79 hours 3.63 hours Question Title * 13. Asanji left the science museum and drove toward the lake at an average speed of 60 km/h. Stephanie left three hours later and drove in the opposite direction with an average speed of 50 km/h. How long does Stephanie need to drive before they are 400 km apart? 2 hours 5 hours 1 hour 4 hours Question Title * 14. Solve this equation: 7(1 - 6v) = 6v + 7(1 + 4v) { All real numbers. } {-10} {0} {-5} Question Title * 15. Solve this equation: 45=9√(3x +1) (note - that is one square root that covers all of 3x+1) {6} {-6} {8} {5} Question Title * 16. Solve this equation: (x - 1)(x + 4) = 0 x = -1, -4 x = 1, -4 x = 1, 4 x = -1, 4 Question Title * 17. Solve this equation: 1252p - 1 = 25-2p {3/10} { All real numbers. } No solution. {-8} Question Title * 18. Solve this equation: 9 - 7 |9x + 9| = -54 {-2, 3} {7/9, -1} {4, 2} {0, -2} Question Title * 19. Solve this inequality: -2(1 + 8r) + 5(-5 + 8r) < 45 r > -30 r > 0 r > 3 r < 3 Question Title * 20. Write the slope-intercept form of the equation of the line through the given points. (0, -3) and (-1, -5) y = 2x - 3 y = 2x + 2 y = 3x + 2 y = -3x + 2 Question Title * 21. If y varies inversely as x2, and y = 5 when x = 4, find y when x = 2. 21 18 20 15 Question Title * 22. Solve this system of equations: x - 2 y = -7 and 8x + 4 y = 24 (1, -4) (1, 4) (3, 1) (4, 1) Question Title * 23. Write a polynomial function of least degree with integral coefficients that has the given zeros: -1/5, 3 + √6 3 a 3 b 3 c 3 d Question Title * 24. Simplify: (-2 + 4i)(-4 + i) 8 - 16i -4 + 18i -12 - 14i 4 - 18i Question Title * 25. Simplify: - √54 - 2√6 - √24 -7√6 -12√6 -9√6 -10√6 Question Title * 26. Which equation represents exponential growth? y=5 * 1.2^x y=2x+3 y=10/x y=x^2-4 Question Title * 27. Find the inverse: f (x) = -5/4x - 5 3 A 3 B 3 C 3 D Question Title * 28. Solve: 3p2 - 8 = 0 3 3 3 3 Question Title * 29. Solve: x4 + x2 - 20 = 0 3 3 3 3 Question Title * 30. log⌄19 -x = log⌄19 -5x (this reads log base 19 minus x equals log base 19 minus 5x. Software is unable to subscript the 19) {1} {3/4} no solution {14} Question Title * 31. Divide: (2n4 + 12n3 + 21n2 + 17n + 23) divided by (n + 3) 3 3 3 3 Question Title * 32. Factor: x6 + 28x3 + 27 = 0 3 3 3 3 Question Title * 33. Factor: -27x5 + 64x2 = 0 3 3 3 3 Question Title * 34. Simplify: 1 + 5i / -1 - 5i (This reads 1 plus 5i over -1 -5i) 3 3 3 3 Question Title * 35. Classify the conic section: 25x2 + 9 y2 + 150x - 36 y + 36 = 0 Circle Hyperbola Parabola Ellipse Question Title * 36. Evaluate each expression log⌄7 49 -2 4 3 2 Question Title * 37. Simplify: -6- 3√3 divided by 2√31 3 3 3 3 Question Title * 38. (8m - 5m2n - 8m2n4) + (8m2n + 2m2n4) - (3m3 + 6m2n4 + 7m2n) 3 3 3 3 Question Title * 39. Simplify: (7n + 1)(4n2 + n + 4) 3 3 3 3 Question Title * 40. (v + 2) × 4 - 8v(1 - 8v) 3 3 3 3 Done